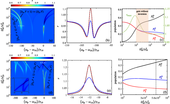
This study conducts a theoretical investigation into the signal amplification arising from multiple Rabi sideband coherence within a waveguide quantum electrodynamics system. We utilize a semi-infinite waveguide to drive an anharmonic multi-level transmon with a strong coherent microwave field, examining the scattering behaviour by introducing a probe signal. Our findings show signal amplification under specific resonant conditions, presenting spectra that reveal finer details than previously documented in the literature. To elucidate the mechanisms behind this amplification, we develop a model that explicitly accounts for multiple dressed sidebands in the presence of a strong driving field. From this model, we derive the reflection amplitude of the probe signal. Notably, our results indicate that amplification can occur due to either population inversion or, in some instances, through the constructive interference of multiple sidebands even in the absence of population inversion. Additionally, we explore how qubit dephasing impacts the amplification process.
